新闻动态
三大白度计算公式
更新时间 : 2018-07-27 阅读 : 601
国际上对白度进行定量评价已有60多年的历史,曾出现近百种白度计算公式,在不同的国家和部门用来解决某一范围或行业的白度评价问题。其中有一些是十分方便的简易白度公式,并有相应的白度计计白度测量方法。
CIE色度学技术委员会一致力图解决白度的目视评价个仪器测量之间的一致性问题。为此,还专门成立了一个“白度分技术委员会”,从事有关的视觉实验和白度公式、白度测量仪器的研究工作
一般在CIE、ISO及国内有关标准和国内外仪器设计最多的有陶贝(Taube)白度公式、亨特(Hunter)白度公式、CIE白度公式3个典型公式。
1、陶贝(Taube)白度公式
陶贝白度公式是K.Taube在1959年提出,1973年呗美国材料实验学会(ASTME)采用,作为ASTME313-73标准《近白色不透明材料白度及黄度指数的标准实验法》的计算公式。
2、亨特(Hunter)白度公式
当采用C光源,20视场时,式中:
亨特明度
亨特色品指数

当采用D65光源,100视场时,式中:

式2为国家标准GB/T 5950-1996《建筑材料与非金属矿产品白度测量方法》所采用;式4则为GB/T 13815-1992《兔毛白度实验方法》采用。
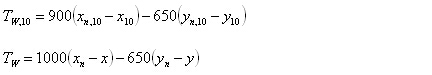
3、CIE白度公式

染色调指数:
式中,Xn,10 , yn,10和xn , yn 是完全反射漫射体在D65标准照明体下,分别为100视场和200视场条件的色品坐标。
用CIE推荐的白度公式所得到的W值越大,就表示白度越高。淡色调指数可正可负,正的值越大就表示带淡蓝——绿度越大;负的绝对值越大就表示带淡品红——黄度越大。
针对这些白度公式,为了减少测试的繁琐,彩谱科技测色仪器企业推出了可以综合测量各种种白度值的分光测色仪,仪器中包含所有必要的色彩方程式、适合不同任务的标准光源,及大量特定行业及应用的指标。可在工厂、实验室现场操作,足以在几乎所有应用领域的质量控制中实现最佳的色彩测量。使您的测量更加简捷方便。
CIE色度学技术委员会一致力图解决白度的目视评价个仪器测量之间的一致性问题。为此,还专门成立了一个“白度分技术委员会”,从事有关的视觉实验和白度公式、白度测量仪器的研究工作
一般在CIE、ISO及国内有关标准和国内外仪器设计最多的有陶贝(Taube)白度公式、亨特(Hunter)白度公式、CIE白度公式3个典型公式。
1、陶贝(Taube)白度公式
陶贝白度公式是K.Taube在1959年提出,1973年呗美国材料实验学会(ASTME)采用,作为ASTME313-73标准《近白色不透明材料白度及黄度指数的标准实验法》的计算公式。
2、亨特(Hunter)白度公式
当采用C光源,20视场时,式中:
亨特明度
亨特色品指数


当采用D65光源,100视场时,式中:

式2为国家标准GB/T 5950-1996《建筑材料与非金属矿产品白度测量方法》所采用;式4则为GB/T 13815-1992《兔毛白度实验方法》采用。
3、CIE白度公式

染色调指数:
式中,Xn,10 , yn,10和xn , yn 是完全反射漫射体在D65标准照明体下,分别为100视场和200视场条件的色品坐标。
用CIE推荐的白度公式所得到的W值越大,就表示白度越高。淡色调指数可正可负,正的值越大就表示带淡蓝——绿度越大;负的绝对值越大就表示带淡品红——黄度越大。
针对这些白度公式,为了减少测试的繁琐,彩谱科技测色仪器企业推出了可以综合测量各种种白度值的分光测色仪,仪器中包含所有必要的色彩方程式、适合不同任务的标准光源,及大量特定行业及应用的指标。可在工厂、实验室现场操作,足以在几乎所有应用领域的质量控制中实现最佳的色彩测量。使您的测量更加简捷方便。
- 上一页 : CC120标准光源看样台,最新升级换样
- 下一页 : 用电池供电,色差仪开不了机,怎么办?

